Tocotrienol (โทโคไตรอีนอล) คือ วิตามินอีชนิดหนึ่งที่ละลายในไขมัน มีคุณสมบัติเป็นสารต้านอนุมูลอิสระvitemin-e-tocotrienol (Antioxidant) และช่วยต้านการอักเสบ (Anti-inflammatory) ได้อย่างมีประสิทธฺภาพ นอกจากนี้ยังมีบทบาทสำคัญในการส่งเสริมสุขภาพทางร่างกายหลากหลายด้าน Tocotrienol เป็นวิตามินอีที่สามารถพบได้ตามธรรมชาติเช่นเดียวกับวิตามินอีรูปแบบอื่น ๆ โดยแหล่งสำคัญที่สามารถพบ Tocotrienol ได้แก่ น้ำมันปาล์ม น้ำมันรำข้าว น้ำมันจมูกข้าวสาลี รวมถึงถั่ว หรือเมล็ดพืชบางชนิด[1], [2]
| ชื่อสามัญ | Tocotrienol |
| ลักษณะ | ผงสีเหลืองอ่อน |
| แหล่งที่มา | น้ำมันปาล์ม น้ำมันรำข้าว น้ำมันจมูกข้าวสาลี รวมถึงถั่ว หรือเมล็ดพืชบางชนิด |
| ประโยชน์ | ต้านอนุมูลอิสระ ดูแลสุขภาพหัวใจและหลอดเลือด บำรุงระบบประสาทและสมอง และช่วยประสมดุลภูมิคุ้มกัน |
| ผลิตภัณฑ์ที่แนะนำ | Nectapharma Luminari Astaxanthin |
TLDR
Tocotrienol คือ วิตามินอีชนิดหนึ่งที่ละลายในไขมัน มีความสามารถในการซึมเข้าสู่เนื้อเยื่อและเยื่อหุ้มเซลล์ได้ดีกว่า Tocopherol
Tocotrienol มีฤทธิ์ทางชีวภาพที่หลากหลายและมีประสิทธิภาพมากกว่า Tocopherol
การทานวิตามินอี Tocotrienol ร่วมกับ Astaxanthin ช่วยเสริมให้ฤทธิ์การต้านอนุมูลอิสระเพิ่มขึ้น
การรับประทาน Tocotrienol ส่งผลดีต่อส่วนต่าง ๆ ของร่างกายอย่างครอบคลุม ทั้งระบบหัวใจและหลอดเลือด ระบบประสาทและสมอง และระบบภูมิคุ้มกัน
Tocotrienol แตกต่างกับวิตามินอีรูปแบบอื่นอย่างไร
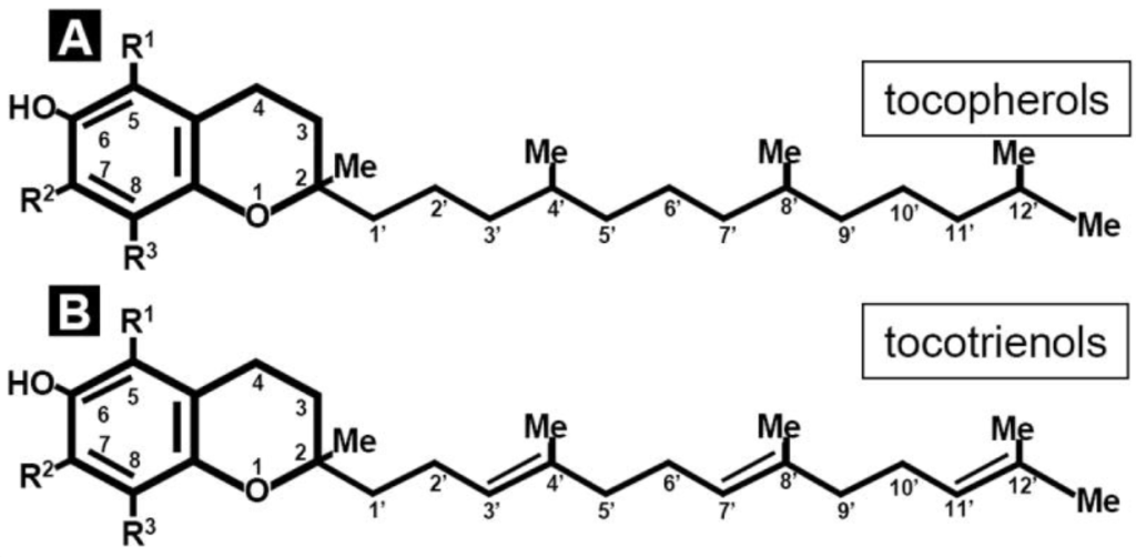
วิตามินอีมีอยู่ 2 กลุ่มหลัก คือ Tocotrienol (โทโคไตรอีนอล) และ Tocopherol (โทโคฟีรอล) ซึ่งทั้งสองกลุ่มมีโครงสร้างทางเคมีที่คล้ายคลึงกัน ต่างกันเพียงโครงสร้างของหางโมเลกุล ความแตกต่างเล็ก ๆ นี้ส่งผลให้ Tocotrienol และ Tocopherol เป็นวิตามินอีมีคุณสมบัติที่แตกต่างกัน โดย Tocotrienol ที่มีโครงสร้างของหางไม่อิ่มตัว จะสามารถในการซึมเข้าสู่เนื้อเยื่อและเยื่อหุ้มเซลล์ได้ดีกว่า Tocopherol ทีมี่โครงสร้างของหางที่อิ่มตัว ทำให้ Tocotrienol มีฤทธิ์ทางชีวภาพที่หลากหลายและมีประสิทธิภาพมากกว่า[1], [2]

การเสริมฤทธิ์กันของวิตามินอี Tocotrienol และ Astaxanthin
วิตามินอีทั้งในรูปแบบของ Tocotrienol และ Tocopherol ต่างก็มีคุณสมบัติในการต้านอนุมูลอิสระเช่นเดียวกัน อย่างไรก็ตาม จากการศึกษาพบว่าการให้วิตามินอี Tocotrienol ร่วมกับ Astaxanthin ส่งผลให้ฤทธิ์ในการต้านอนุมูลอิสระเพิ่มขึ้นมากกว่าผลของ Tocotrienol และ Astaxanthin เดี่ยว ๆ รวมกันถึง 1.4 เท่า เนื่องจากโครงสร้างโมเลกุลของสารทั้งสองตัวมีปฎิกิริยาซึ่งกันและกัน ในทางกลับกันพบว่า การให้ Tocopherol และ Astaxanthin ร่วมกันไม่มีผลช่วยเสริมฤทธิ์ซึ่งกันและกัน ทำให้การเลือกใช้วิตามินอี Tocotrienol ร่วมกับ Astaxanthin เป็นทางเลือกที่น่าสนใจกว่า[3]

การเสริมฤทธิ์กันของ Tocotrienol และ Astaxanthin[3]
ประโยชน์ของวิตามินอี Tocotrienol
ปัจจุบัน Tocotrienol ได้รับความสนใจอย่างมากในวงการอาหารเสริมและโภชนเภสัช เนื่องจากงานวิจัยจำนวนมากพบว่าการรับประทาน Tocotrienol ประโยชน์ไม่ได้มีเพียงในเรื่องของการต้านอนุมูลอิสระเท่านั้น แต่การรับประทาน วิตามินอี Tocotrienol ยังส่งผลดีต่อระบบต่าง ๆ ของร่างกายได้อย่างครอบคลุม[4]

Tocotrienol ประโยชน์ต่อสุขภาพในหลายมิติ[5]
สุขภาพหัวใจกับ Tocotrienol
Tocotrienol กลายเป็นหนึ่งในสารที่ถูกนำมาศึกษาอย่างกว้างขวางเกี่ยวกับการดูแลระบบหัวใจและหลอดเลือดในปัจจุบัน จากการศึกษาพบว่าการรับประทาน วิตามินอี Tocotrienol ช่วยลดระดับคอเลสเอตรอล และระดับไขมันในเลือดได้ อีกทั้งการรับประทาน Tocotrienol ยังช่วยส่งเสริมความยืดหยุ่นของหลอดเลือด ซึ่งมีส่วนช่วยลดความเสี่ยงต่อการเป็นโรคหัวใจและหลอดเลือด[6], [7]
Tocotrienol กับการทำงานระบบประสาทและสมอง
ความสามารถในการปกป้องเซลล์ประสาทเป็นอีกหนึ่งบทบาทสำคัญของ Tocotrienol ที่ได้รับความน่าสนใจ จากงานวิจัยพบว่า ในผู้ที่รับประทาน Vitamin E Tocotrienol มีแนวโน้มที่จะชะลอการถูกทำลายของสมองได้ดีกว่าผู้ที่ไม่ได้รับประทาน ซึ่งมีความสัมพันธ์กับการลดความเสี่ยงของโรคความจำเสื่อมในผู้สูงอายุ[8]
Tocotrienol ประโยชน์เรื่องระบบภูมิคุ้มกัน
อีกหนึ่งคุณสมบัติที่น่าสนใจของ Tocotrienol คือ ช่วยปรับสมดุลและกระตุ้นการทำงานของระบบภูมิคุ้มกัน จากการศึกษาพบว่าการรับประทานวิตามินอี Tocotrienol ช่วยเสริมการทำงานของระบบภูมิคุ้มกันให้ตอบสนองต่อสิ่งแปลกปลอมและเชื้อโรคที่เข้าสู่ร่างกายได้ดียิ่งขึ้น[9]
การรับประทาน Tocotrienol มีอะไรที่ต้องระวัง
โดยทั่วไปร่างกายสามารถได้รับ Vitamin E Tocotrienol จากการทานอาหารปกติ แต่ปริมาณที่ได้รับนั้นมีเพียงปริมาณเล็กน้อยและไม่เป็นอันตรายต่อร่างกาย อย่างไรก็ตาม ในผู้ที่ต้องการเสริมวิตามินอี Tocotrienol ในรูปแบบอาหารเสริมควรระมัดระวังในเรื่องปริมาณที่รับประทาน เนื่องจากการรับประทาน Tocotrienol ในปริมาณสูงอาจเพิ่มความเสี่ยงต่อภาวะเลือดออกง่าย อีกทั้งอาจส่งผลต่อการออกฤทธิ์ของยาบางชนิดได้ ดังนั้นเพื่อความมั่นใจ ควรรับประทานในปริมาณที่ปลอดภัย และควรปรึกษาเภสัชกรหรือแพทย์ก่อนรับประทานวิตามินอี Tocotrienol โดยเฉพาะในผู้ที่มีโรคประจำตัว ผู้ที่รับประทานยาเป็นประจำ หญิงตั้งครรภ์หรือคุณแม่ให้นมบุตร เพื่อให้สามารถทาน Tocotrienol ได้อย่างปลอดภัย[10]