เมื่อพูดถึง Vitamin C (วิตามินซี) ส่วนใหญ่มักนึกถึง Ascorbic Acid (กรดแอสคอร์บิก) ซึ่งเป็นรูปแบบพื้นฐานที่ใช้กันแพร่หลาย แต่ในความเป็นจริง วิตามินซียังมีอีกหลายรูปแบบที่ให้คุณสมบัติแตกต่างกัน[1] หนึ่งในนั้นคือ Calcium Ascorbate Dihydrate (แคลเซียม แอสคอร์เบต ไดไฮเดรต) ที่ระคายเคืองกระเพาะอาหารน้อยกว่า Ascorbic Acid และช่วยให้วิตามินซีปลดปล่อยและดูดซึมได้เสถียรขึ้น[2]
| ชื่อสามัญ | Calcium Ascorbate Dihydrate |
| ลักษณะ | ผงสีขาว |
| แหล่งที่มา | จากกระบวนการสังเคราะห์เท่านั้น |
| ประโยชน์ | ช่วยเสริมภูมิคุ้มกัน เสริมการสร้างคอลลาเจน บำรุงผิว สมานแผล และช่วยลดความเสียหายของเซลล์จากความเครียดออกซิเดชัน |
| ผลิตภัณฑ์ที่แนะนำ | Nectapharma Luminari Astaxanthin 6 mg, Nectapharma Nectahair™ Pelatin |
TLDR
Calcium Ascorbate Dihydrate (แคลเซียม แอสคอร์เบต ไดไฮเดรต) คือ วิตามินซีชนิดไม่เป็นกรด (Non-Acidic) คงตัวสูง และระคายเคืองกระเพาะอาหารน้อยกว่า Ascorbic Acid
ดูดซึมดีและนำไปใช้ได้มีประสิทธิภาพกว่า สามารถช่วยเพิ่มระดับวิตามินซีในเลือดมากกว่า
Ascorbic Acid (กรดแอสคอร์บิก) 1.5 เท่า
ช่วยบำรุงผิวพรรณ เสริมสร้างภูมิคุ้มกัน สมานแผล ช่วยลด Oxidative Stress (ความเครียดออกซิเดชัน) ในร่างกาย ซึ่งสัมพันธ์กับโรคเรื้อรังหลายชนิด ส่งผลต่อสุขภาพร่างกายโดยรวม
Calcium Ascorbate Dihydrate แคลเซียม แอสคอร์เบต ไดไฮเดรตคืออะไร?

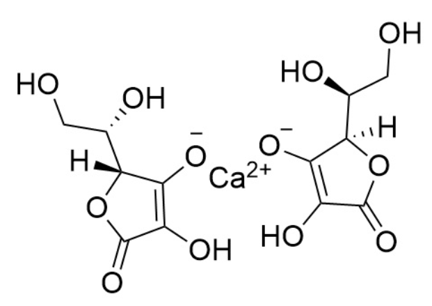
Calcium Ascorbate Dihydrate (แคลเซียม แอสคอร์เบต ไดไฮเดรต) คือรูปแบบวิตามินซีชนิดไม่เป็นกรด (Non-Acidic Vitamin C) จากการสร้างเกลือระหว่าง Ascorbic Acid (กรดแอสคอร์บิก) และ Calcium (แคลเซียม) ในสัดส่วนที่ทำให้โมเลกุลมีความเสถียร มีน้ำประกอบ 2 โมเลกุลในผลึก (Dihydrate Form) ทำให้ค่า pH ใกล้เคียงกลาง ลดความเป็นกรดของ Ascorbic Acid และทำให้สารมีความคงตัวสูงขึ้น นอกจากนี้รูปแบบ Dihydrate ยังช่วยเพิ่มการละลายและการแตกตัวของสาร ส่งผลให้การดูดซึมของวิตามินซีเป็นไปอย่างมีประสิทธิภาพและไม่ก่อการระคายเคืองต่อระบบทางเดินอาหารเหมือนรูปแบบกรดทั่วไป[2]
ทำไม Calcium Ascorbate Dihydrate ดีกว่า Ascorbic Acid?

จากการศึกษาการเปรียบเทียบประสิทธิภาพการดูดซึม พบว่า Calcium Ascorbate Dihydrate (แคลเซียม แอสคอร์เบต ไดไฮเดรต) มีประสิทธิภาพการดูดซึมและการนำไปใช้งานดีกว่ารูปแบบ Ascorbic Acid (กรดแอสคอร์บิก) เนื่องจาก Calcium Ascorbate Dihydrate (แคลเซียม แอสคอร์เบต ไดไฮเดรต) ช่วยให้ร่างกายเปลี่ยนวิตามินซีไปเป็นอีกรูปแบบหนึ่งที่ชื่อว่า DHA (Dehydroascorbic Acid) ได้มากกว่า[3] ซึ่ง DHA เป็นรูปแบบที่เซลล์เม็ดเลือดขาวนำเข้าเซลล์ได้ง่ายกว่า ผ่านตัวขนส่งกลุ่ม GLUT ทำให้การดูดซึมวิตามินซีในระดับเลือด (AUC) สูงกว่าแบบกรดถึง 1.5 เท่า[2] นอกจากนี้การมีแคลเซียมเป็นส่วนประกอบช่วยเพิ่ม pH ในกระเพาะอาหาร ปรับ pH ให้เป็นกลาง ลดการกระตุ้นกรดและเอนไซม์ Pepsin ที่ทำลายเยื่อบุกระเพาะ ทำให้ไม่ระคายเคืองกระเพาะ เมื่อเทียบกับ Ascorbic Acid (กรดแอสคอร์บิก)
Calcium Ascorbate (แคลเซียม แอสคอร์เบต) ประโยชน์
สุขภาพผิว
Calcium Ascorbate Dihydrate (แคลเซียม แอสคอร์เบต ไดไฮเดรต) มีบทบาทสำคัญต่อสุขภาพผิว โดยช่วยเป็นโคแฟกเตอร์ในการสร้าง คอลลาเจน ทำให้ผิวแข็งแรงและเรียบเนียนยิ่งขึ้น อีกทั้งยังช่วย ลดการเกิดเม็ดสี ทำให้ผิวดูกระจ่างใสและสีผิวสม่ำเสมอ วิตามินซียังทำหน้าที่เป็น สารต้านอนุมูลอิสระ ปกป้องผิวจากมลภาวะและรังสี UV ที่ก่อให้เกิดริ้วรอยก่อนวัย[4]
เสริมภูมิคุ้มกัน
Calcium Ascorbate Dihydrate (แคลเซียม แอสคอร์เบต ไดไฮเดรต) ช่วยกระตุ้นการทำงานของเซลล์เม็ดเลือดขาว ทำให้ร่างกายรับมือเชื้อโรคและลดความรุนแรงของการติดเชื้อได้ดีขึ้น จากงานวิจัย พบว่า Calcium Ascorbate Dihydrate (แคลเซียม แอสคอร์เบต ไดไฮเดรต) ช่วยลดจำนวนครั้งของการเป็นหวัดได้อย่างมีนัยสำคัญ โดยลดระยะเวลาที่มีอาการรุนแรงจาก 3.1 วันเหลือ 1.8 วัน และช่วยให้ร่างกายฟื้นตัวเร็วขึ้นโดยไม่ระคายเคืองกระเพาะอาหารเท่าวิตามินซีกรดสูง[5]
สมานแผล
Calcium Ascorbate (แคลเซียม แอสคอร์เบต) มีบทบาทสำคัญต่อการสมานแผล โดยช่วยกระตุ้นการสร้างคอลลาเจน การสร้างหลอดเลือดใหม่ และลดการอักเสบ ทำให้เนื้อเยื่อฟื้นตัวได้เร็วขึ้น งานวิจัยระบุว่าการเสริมวิตามินซีช่วยให้แผลผ่าตัดหรือแผลเรื้อรังหายได้ดีขึ้น[6]
นอกจากนี้ Calcium Ascorbate (แคลเซียม แอสคอร์เบต) ยังมีบทบาทสำคัญต่อสุขภาพในหลายด้าน ไม่ว่าจะเป็น เพิ่มการดูดซึมธาตุเหล็ก ช่วยลดความเสี่ยงของภาวะโลหิตจางจากการขาดธาตุเหล็ก รวมถึงเสริมการทำงานของระบบประสาท อีกทั้ง Calcium Ascorbate (แคลเซียม แอสคอร์เบต) ยังช่วยลดระดับ Oxidative Stress (ความเครียดออกซิเดชัน) ในร่างกาย ซึ่งเป็นปัจจัยสำคัญที่เกี่ยวข้องกับโรคเรื้อรังหลายชนิด ทำให้ร่างกายทำงานได้อย่างสมดุลและมีประสิทธิภาพมากขึ้น[7]